wrong.
the old J-15 is 18.3t while the new J-15T is lighter 17.5t.
that is because it can do carrier electromagnetic catapult.
There is a news report about J-15T’s performance.
歼-15T高调亮相,能对标F/A-18E/F,成福建舰弹射舰载机_腾讯新闻

So it’s the worst because it’s equivalent to one of the best high altitude jets in the game…
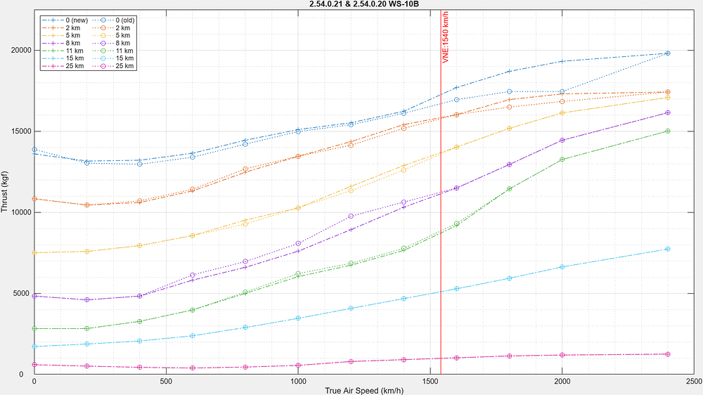
J-15T engine’s high speed thrust is significantly higher than AL-31s according to both Statshark and WTRTI [localhost].
@kizvy
The initial [“non-carrier” to at least one] J-15 is 17.5 tons according to others.


This doesn’t exist? All J-15s are carrier aircraft
what does CATO BAR gear even do ? like can they make a option to ditch it ? like how Seps can ditch there ERA ?
Makes it able to launch from CATO systems, which the J-15T needs to do.
cato im assuming means catapult ?
Its the dev server… Flight model is likely not done
Yes. The 15T is designed to operate of of the 003 Fujian with a EMALS catapult
we dont even have it ingame so why add Cato bar weight just do the J15T before CATO BAR like these guys they do STO BAR
![]()
also any jet ingame can use catapults ingame i dont think its neccesarry as gaijin doesnt make a F16 explode on catapult launch
Because the 15T is designed for it its not a thing you just add or take off, the T literally stands for “Tanshe” (弹射) (catapult)
also as far as i can find no pulic sources state how much weight the CATOBAR upgrade adds 3 tons seems exccessives 1-2 tons makes far more sense
as F4E airforce model and F4J/S navy version dont differ in drastically different weights they are all same weight according to the wiki weighing 14.21 TONs empty
Its not 3 tonnes Jesus Christ. It weights 18300kg in game its 800kg heavier than the og 15 which was 17500…
according to what the sources they posted its OG weight is 17.5 tons
J15T weighs 18,300 KG = 20.172 tons which is 2.6 tons
orginal SU33 weighs 19.09 tons
I can live with weight issue, but the thrust needs to be adjusted. Because this problem affects not only J-15T but also J-10C, and J-10C is actually worse now after switching to WS-10B because of how shit it is.
Another issue is that WS-10B engine is heavier than WS-10A ingame, when in reality the newer components have actually lead to weight decrease.
I have no idea what American burger units you use but 1 tonne is 1000kg the J-15T is 800kg heavier than the J-15 so 0.8 tonnes not 2 or 3
On a side note, guys, the WS‑10 series engines (whether the WS‑10A or WS‑10B) suffer the greatest thrust loss during startup, and it’s shockingly severe.

What does this mean? The WS-10B has a slight boost in high-speed power, but at the cost of a significant power drop at 8,000 meters? That little bit of high-speed power increase isn’t a game-changer, is it? Personally, I think this has actually weakened its overall power performance. Could it be that the MKK is selling so well that Gaijin is back to its “old tricks ”again?
me when something that requires thick air struggles in thin air
dev server btw, its early in the models development
