In this thread, I will be posting my research on several aspects of the Kfir C.7, as well as the C.1 and C.2. It is unfortunate that the most unique aircraft in the Israeli air tech tree is represented so indifferently, and I’ve come here to correct that.
I will begin with the Elta EL/M-2001B and its EEGS or radar gun sight.
These documents along with others provided in the sources section confirm the radar can track targets in an air to air mode and provide a weapons computer solution (for the guns). This other document talks more about modes.
Just keep in mind that what gets displayed on the HUD is determined by the WDNS. The C7 had a more advanced WDNS than its predecessors, presumably the System 82 WDNS or a slightly newer version of it.
That WDNS article mentions a backup computer that can independently provide symbology to the HUD.
System 82
- An independent backup computer with its own symbol generation provides lead-computing optical sight backup air-to-air mode
- And direct visual bombing backup air-to-ground mode.
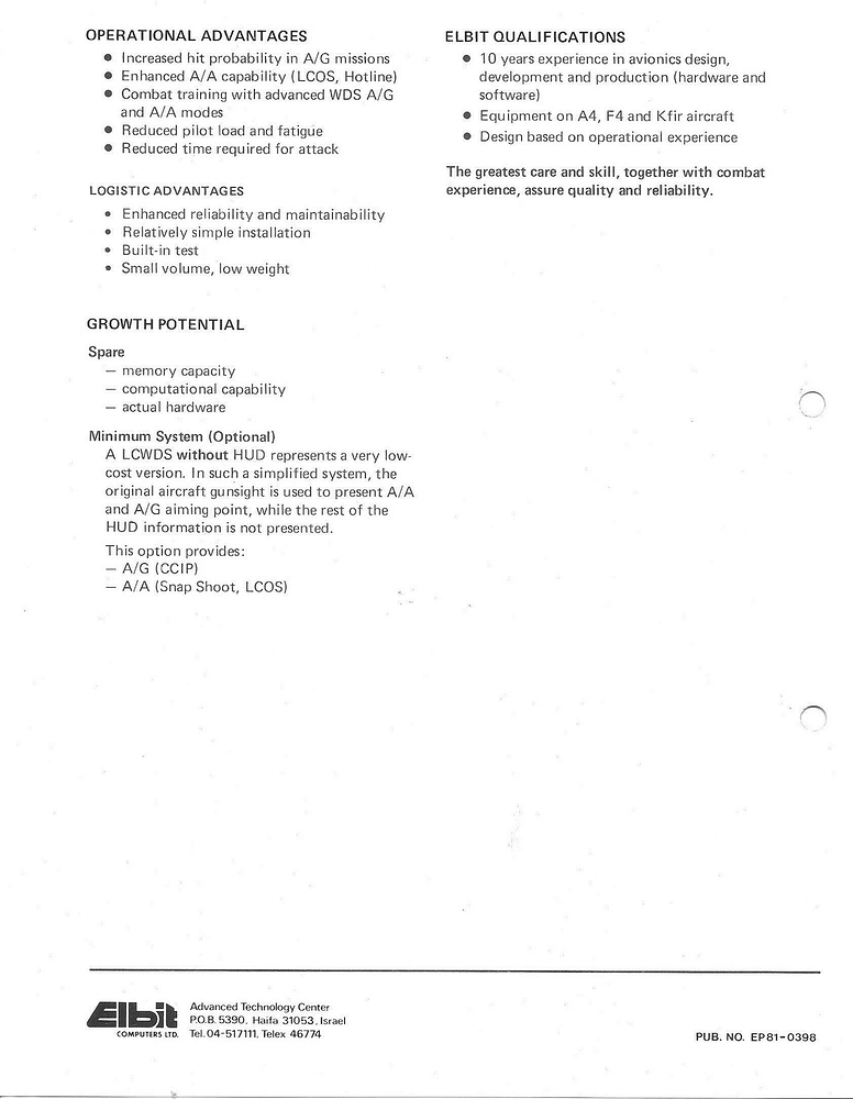
LCWDS
-
Basic modes include air-to-air “HOTLINE”
-
Plus air-to-ground continuously computed impact point and manual release functions.
-
If a Doppler navigation system is fitted, toss bombing and waypoint navigation are available.
-
- A/A Modes:
- LCOS
- HOTLINE
- A/G Modes:
- DIR
- CCIP
- TOSS
- DTOSS
- A/A Modes:
Note that they don’t specify the main modes of the full System 82 WDNS, only the backup modes. I am assuming that the LCWDS is a subset of the System 82 WDNS and that the System 82 WDNS includes those modes. So there may be modes not listed that we cannot confirm from that magazine-specific article.
DGFT is the main air combat gun sight and it marks the target using ranging from the radar if available. Both LCOS and HOTLINE are submodes of the DGFT mode. In DGFT mode you can fire missiles and guns, LCOS/HOTLINE don’t apply to missiles, only guns.
Here comes the best part, the pictures of the air to air gunsight at work.
Picture 1 is of a Kfir C.2, and picture 2 is of a Kfir C.1 (Canard) in mock dogfights with other Kfirs.


These pictures are of the HUD of a Colombian Kfir C.7 in a Boresight mode.
And this last picture if from an Atlas Cheetah E which uses the same Elta EL/M-2001B radar tracking another Cheetah.
This concludes the Radar portion.
Sources
“Mirage III/5/50 Variant Briefing”, by Paul Jackson, WORLD AIR POWER JOURNAL, volumes 14, 15, and 16
https://www.airvectors.net/avmir3_2.html
Terry Gander, Christopher Chant, Bob Munro, Collins/Jane’s Combat Aircraft. Harper Resource, 1995.
Breffort, Dominique; Jouineau, Andre (2004). The Mirage III, 5, 50 and derivatives from 1955 to 2000. Planes and Pilots 6. Histoire et Collections, Paris.
Gunston, B., & Spick, M. (n.d.). Modern Air Combat: The Aircraft, Tactics and Weapons Employed in Aerial Warfare Today. Crescent.
https://www.scribd.com/document/346753464/IAI-Kfir-Monografie-Lotnicze-No-27
IAI Kfir: in IAF service
Flight International Magazine April 1979 Edition
Flight International Magazine August 1983 Edition
THE COMPLETE BOOK OF FIGHTERS, by William Green and Gordon Swanborough, Smithmark Books, 1994
THE ENCYCLOPEDIA OF WORLD MILITARY AIRCRAFT, edited by David Donald & Jon Lake, Barnes & Noble, 2000
If I find more sources, I will add them.
If there’s anything I can improve I would appreciate the feedback.






























